數學選擇題知識覆蓋面廣,要求解題熟練、靈活、快速、準確?,F總結了以下十個選擇題的答題技巧,幫助同學們提高答題效率及準確率。
1.排除法:利用已知條件和選項所提供的信息,從四個選項中剔除掉三個錯誤的答案,從而達到正確選擇的目的。這是一種常用的方法,尤其是答案為定值,或者有數值范圍時,取特殊點代入驗證即可排除。
如下題,y=x為奇函數,y=sin|x|為偶函數,奇函數+偶函數為非奇非偶函數,四個選項中,只有B選項為非奇非偶函數,憑此一點排除ACD。
2.特殊值檢驗法:對于具有一般性的數學問題,在解題過程中,可以將問題特殊化,利用問題在某一特殊情況下不真,則它在一般情況下不真這一原理,達到去偽存真的目的。值得注意的是,特殊值法常常也與排除法同時使用。
如下題,代入特殊值0,顯然符合,排除AD;代入x=-1顯然不符,排除C。
3.極端性原則:將所要研究的問題向極端狀態進行分析,使因果關系變得更加明顯,從而達到迅速解決問題的目的。極端性多數應用在求極值、取值范圍、解析幾何、立體幾何上面,很多計算步驟繁瑣、計算量大的題,采用極端性去分析,就能瞬間解決問題。
如下題,直接取AB⊥CD的極端情況,取AB中點E,CD中點F,連結EF,令EF⊥AB且EF⊥CD,算出的值即最大值,無須過多說明。
4.順推破解法:利用數學定理、公式、法則、定義和題意,通過直接演算推理得出結果的方法。如下題,根據題意,依次將點代入函數及其反函數即可。
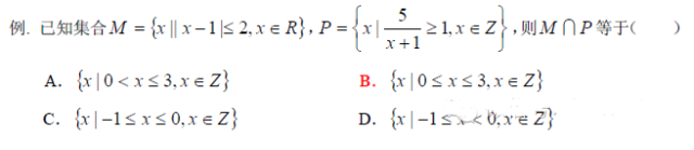
5.逆推驗證法(代答案入題干驗證法):將選項代入題干進行驗證,從而否定錯誤選項而得出正確答案的方法。常與排除法結合使用。如下題,代入x=0,顯然符合,排除AD;代入x=-1顯然不符,排除C。選B。
6.正難則反法:從題的正面解決比較難時,可從選項出發逐步逆推找出符合條件的結論,或從反面出發得出結論,在做排列組合或者概率類的題目時,經常使用。
7.數形結合法:由題目條件,做出符合題意的圖形或圖象,借助圖形或圖象的直觀性,經過簡單的推理或計算,從而得出答案的方法。數形結合的好處就是直觀,甚至可以用量角尺直接量出結果來。
如下題,作圖后直接得出選項A符合。
8.遞推歸納法:通過題目條件進行推理,尋找規律,從而歸納出正確答案的方法,例如分析周期數列等相關問題時,就常用遞推歸納法。如下題,找找規律即可分析出答案。
9.特征分析法:對題設和選擇項的特點進行分析,發現規律,歸納得出正確判斷的方法。如下題,如果不去分析該幾何體的特征,直接用一般的割補方法去做,會比較頭疼。細細分析,其實該幾何體是邊長為2的正方形體積的一半,如此這般,不用算都知道選C。
10.估算法:有些問題,由于題目條件限制,無法(或沒有必要)進行精準的運算和判斷,此時只能借助估算,通過觀察、分析、比較、推算,從面得出正確判斷的方法。如下題,這種沒辦法解的方程,只能通過估算求解。當然,在可以使用計算器的情況下,估算也可以也精確,使用TABLE或者SOLVE功能,可計算約等于0.42。
【結語】以上方法要注意靈活運用,很多情況下都是需要穿插綜合運用,不可拘泥于一法。另外,雖然本文選用的例題都是選擇題,但是大部分方法在做填空題時,也是同樣適用的,比如正難則反、數形結合、特征分析、遞推歸納等,還是要靈活運用。










